
Pagamento Assegno di Inclusione Marzo 2026: Ecco il calendario INPS con 3 date
In un periodo in cui l’economia è ancora incerta dopo la pandemia e con prezzi che cambiano spesso, l’Assegno di Inclusione (ADI) è ancora…
Read MoreLatest Articles

Pensione di Marzo 2026 Inps: 70 euro di Arretrati e Maggiorazioni nel Cedolino in Pagamento il 02 Marzo
Marzo 5, 2026
View Article
Visibile Cedolino Pensioni Marzo 2026: Importi Sbagliati e Nessun Aumento? Spiegazione INPS
Marzo 5, 2026
View Article
Calendario dei Pagamenti dell’Assegno Unico 2026: Circolare Inps – Ecco le Nuove date
Marzo 5, 2026
View Article
Calendario Pagamento Noipa di Marzo 2026: Arretrati e Aumenti per Docenti e ATA
Marzo 5, 2026
View Article
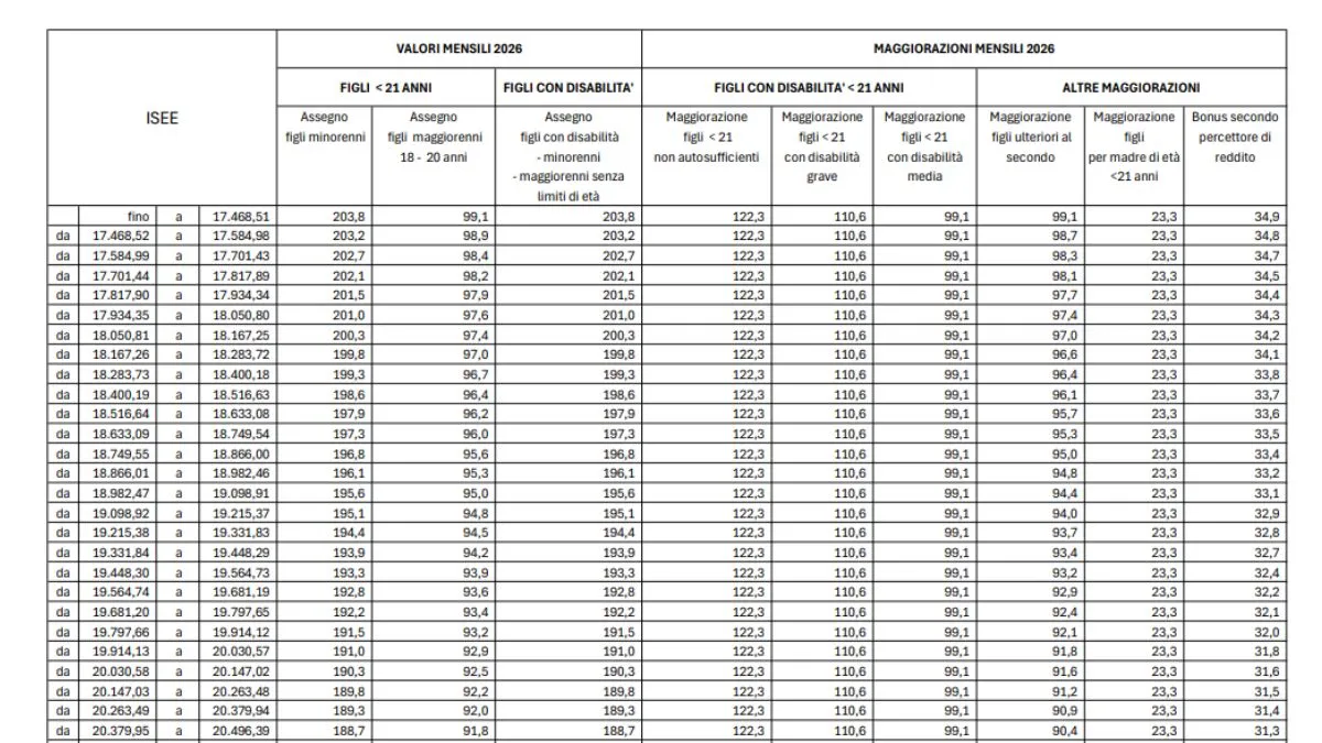
Tabella Assegno Unico 2026 PDF: Tutti Nuovi Importi e Nuove Maggiorazioni – Circolare Inps
Marzo 5, 2026
View Article
Tutti i Pagamenti INPS Marzo 2026: Nuove Date, Assegno Unico, ADI, Naspi e Carta Acquisti 80 euro
Marzo 5, 2026
View Article





